[EClinicalMedicine] Multi-task Deep Learning System Enhances Integrated Non-invasive MRI Diagnosis of Nine Knee Abnormalities

Recently, a joint research team from the Southern Medical University Third Affiliated Hospital and the Hong Kong University of Science and Technology (HKUST), together with partner hospitals in southern China, announced a major breakthrough in AI-assisted knee MRI interpretation. Their work introduces a multi-task deep learning system (DLS) designed for integrated diagnosis of nine common knee abnormalities. Published in EClinicalMedicine (IF = 10.0, CAS Medicine Q1), this study demonstrates substantial accuracy gains and time savings for radiologists in real-world settings.

Introduction

Knee MRI diagnosis poses unique challenges due to complex soft tissue anatomy, multiple imaging sequences, and nuanced structural details. Conventional AI solutions tend to focus on single abnormalities, limiting clinical utility. The new DLS tackles this gap by providing a “generalist” approach—covering **meniscal tears, cartilage defects, ACL/PCL/MCL/LCL injuries, infrapatellar fat pad (IFP) injury, synovial plica, and cysts—within a unified diagnostic workflow.

The large-scale, multicentre study involved 13,419 patients, 14,962 MRI exams, and over 1 million individual images, and adopted a rigorous stepwise validation strategy incorporating multi-reader, multi-case experiments and randomized controlled trials.

DLS Knee MRI Study

Clinical Challenges

Radiologists often struggle with knee MRI interpretation due to:

  • Diagnostic complexity: Multiple coexisting pathologies with subtle boundaries.
  • Current AI limitations: Most systems are narrow-focus, lacking panoramic assessment.
  • Workflow inefficiency: A single case may require numerous sequence reviews, often taking 5–8 minutes, increasing cognitive load.

Method

DLS Knee MRI Performance

The DLS employs a coarse-to-fine, multi-plane attention framework:

  • Coarse localization: A 3D U-Net identifies the meniscal region and crops 256×256 ROIs to reduce irrelevant background.
  • Multi-plane feature extraction: Sagittal, coronal, and axial PD fat-suppressed sequences are processed separately and then fused for classification.
  • Attention-guided defect focus: The Attention Object Localization Module (AOLM) directs focus to discriminative areas, improving small-lesion detection.
  • Explainability: Grad-CAM heatmaps visualize AI-attention overlap with expert-identified pathology regions, fostering clinical trust.

The system was implemented in PyTorch, and the training/testing datasets were strictly separated into internal and two external test sets.

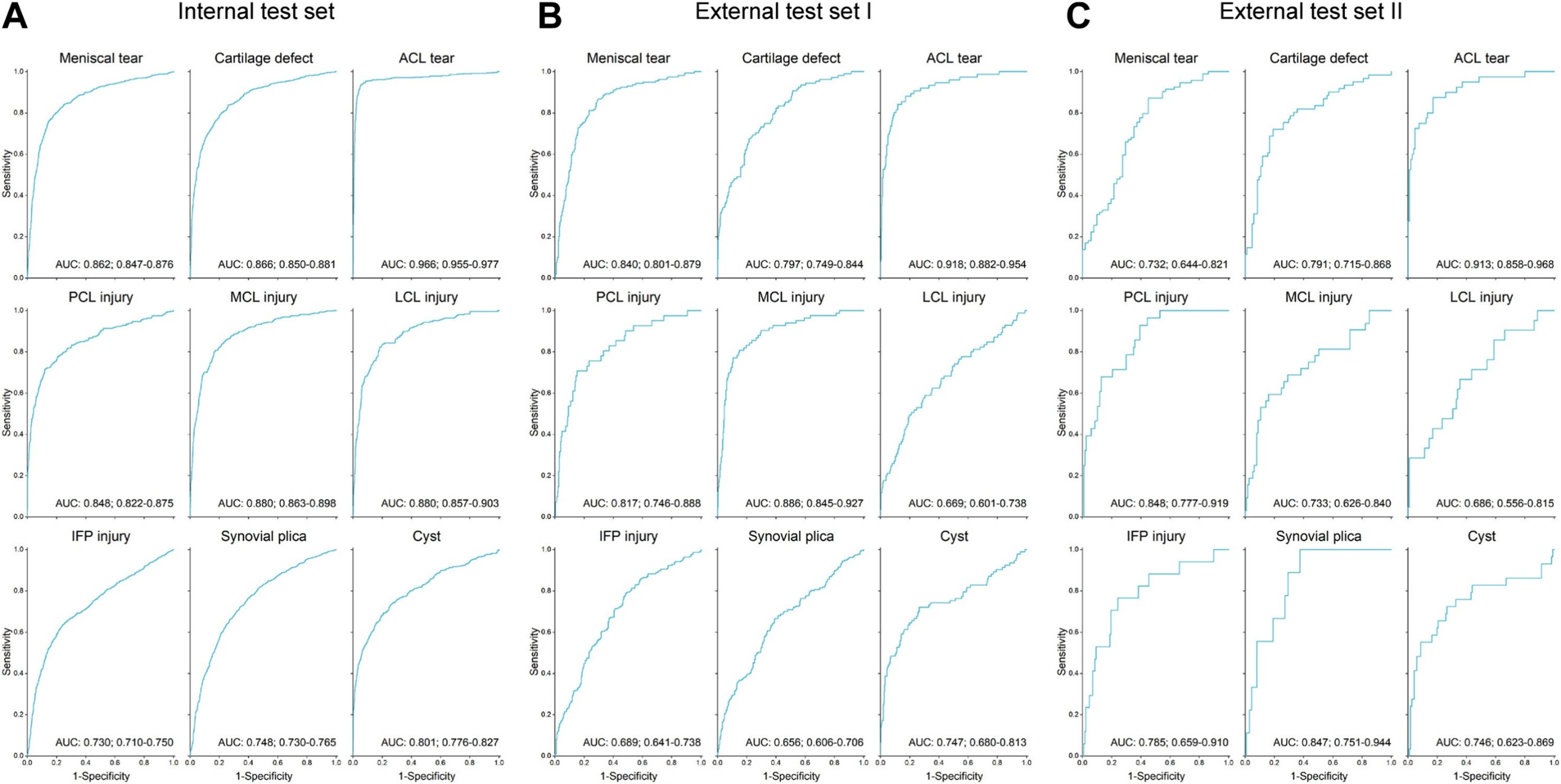
Validation and Results

Multi-centre model performance:

  • Major lesions (meniscal tear, cartilage defect, ACL tear) AUC: Internal 0.898, External I 0.852, External II 0.812
  • Minor lesions (PCL, MCL, LCL, IFP injury, plica, cysts) AUC: Internal 0.815, External I 0.744, External II 0.774
  • Accuracy range: Internal 73.1%–95.6%; External I 63.3%–89.3%; External II 65.5%–83.5%

DLS Knee MRI Performance

Reader studies:

  1. Step 1 – DLS vs low/high seniority radiologists: Comparable accuracy in major lesions for both groups; notable gains in cartilage defects and cyst detection for low-seniority readers.
  2. Step 2 – Multi-reader re-read (External I, washout period): Accuracy, sensitivity, and specificity improved across all readers; mean reading times reduced by ~30.5s (junior) and ~26.0s (senior).
  3. Step 3 – Randomized controlled trial (External II): DLS-assisted group showed overall accuracy gains of 4.2%–8.8% (statistically significant), with further reading time reductions (~35.5s junior, ~30.7s senior).

DLS Knee MRI Performance

Clinical Insights

The DLS proved helpful in addressing nine high-difficulty scenarios, such as early-stage cartilage changes, partial ACL tears, chronic PCL “normal appearances,” and distinguishing cysts from synovial recess fluid. Attention-guided multi-plane processing enabled more stable lesion identification in these “error-prone” cases.

Grad-CAM Examples

Impact and Outlook

From a radiology perspective, the integrated approach reflects real-world needs for simultaneous interpretation of diverse knee pathologies. As a second reader, DLS can mitigate both under-diagnosis and over-diagnosis risks while improving efficiency.

From an AI perspective, the coarse-to-fine attention paradigm demonstrates quantifiable benefits, with attention-guided lesion localization showing clear performance boosts in ablation studies. The explainable heatmaps align closely with human expert strategies, increasing clinical adoption potential.

Limitations:

  • Retrospective, regional multicentre scope; broader geographic, prospective studies are needed.
  • Reference standards based on MRI + report; limited arthroscopic gold-standard confirmation.
  • Current reliance on PD fat-suppressed sequences; broader protocol adaptability needed.

Future Directions:

  • Large-scale prospective evaluations to measure long-term outcome and efficiency gains.
  • Extend “localization–recognition” AI workflow to shoulder, hip, and ankle joints for a generalizable musculoskeletal AI platform.

Resources

For more details, see the paper: Development of a multi-task deep learning system for classification of nine common knee abnormalities on MRI: a large-scale, multicentre, stepwise validation study via EClinicalMedicine.

Citation:
Xie, Z., Qiu, Z., Li, Y., et al. Development of a multi-task deep learning system for classification of nine common knee abnormalities on MRI: a large-scale, multicentre, stepwise validation study. EClinicalMedicine (2025). https://doi.org/10.1016/j.eclinm.2025.103534